Новости и статьи об искусственном интеллекте и нейросетях. Мы собираем и обрабатываем самую актуальную информацию из мира AI. О проекте
Известный инвестор Майкл Берри ведет кампанию против Nvidia, обвиняя компанию в завышенных оценках и иллюзорном спросе на ИИ-технологии. Его аргументы, подкрепленные ставками на падение акций, вызывают отклик у аудитории и заставляют Nvidia защищаться. Это может стать катализатором для коррекции на рынке ИИ, как это бывало в прошлом с другими скандалами.
Рынки все больше волнуются из-за долгов Oracle, связанных с ИИ-датacentрами, что отражается в росте цен на кредитные дефолтные свопы. Похожие тенденции видны у Microsoft, Meta и Amazon, хотя и в меньшей степени. Прогнозы по сжиганию наличных Oracle резко ухудшились, сигнализируя о большем реализме в оценке ИИ-бума.
Прорыв в антагонистическом обучении позволяет внедрять реальную защиту ИИ без задержек, благодаря сотрудничеству Microsoft и NVIDIA. Оптимизации на GPU и специализированные токенизаторы снижают latency в 160 раз, обеспечивая точность выше 95 процентов. Это помогает компаниям противостоять эволюционирующим угрозам вроде vibe-кодинга в реальном времени.
Искусственный интеллект радикально меняет отрасли, и университеты должны активно внедрять его, чтобы не отстать. Эта справка от NVIDIA дает практические рекомендации по стратегии ИИ для роста набора, привлечения средств и подготовки специалистов. В ней описаны ключевые подходы, финансирование, примеры и метрики успеха.
NCCL от NVIDIA помогает масштабировать ИИ-задачи от нескольких GPU до тысяч, поддерживая динамическое изменение размера коммуникаторов для оптимизации затрат и восстановления от сбоев. Коммуникаторы позволяют добавлять или удалять узлы во время работы, а функции вроде ncclCommShrink упрощают процесс. Пример кода показывает, как интегрировать это в распределенный вывод моделей для устойчивости.
Warp 1.10 усиливает интеграцию с JAX, добавляя автоматическое дифференцирование и поддержку нескольких устройств, а также улучшает модель тайлов и производительность. Значительные ускорения касаются вызовов функций из Python и операций BVH, sparse-матриц, FEM в графах CUDA. Убрали устаревший модуль warp.sim в пользу Newton, плюс улучшения языка и исправления ошибок.
NVIDIA и Microsoft объединили усилия для интеграции SQL Server 2025 с моделями Nemotron RAG, позволяя создавать быстрые и защищенные ИИ-приложения на корпоративных данных. Архитектура решает проблемы производительности RAG, упрощает развертывание и обеспечивает гибкость в облаке или локально. Это открывает путь к семантическому поиску и рекомендациям прямо в базе данных.
Nvidia отчиталась о рекордной выручке в 57 миллиардов долларов за третий квартал, что на 62 процента больше, чем год назад, с чистой прибылью 32 миллиарда долларов. Рост обусловлен спросом на дата-центры и GPU Blackwell, а прогноз на четвертый квартал — 65 миллиардов долларов. Это опровергает разговоры о пузыре в ИИ, подчеркивая устойчивый рост экосистемы.
Nvidia уверяет, что её графические процессоры опережают чипы Google для ИИ на целое поколение, подчёркивая универсальность своей платформы. Компания реагирует на падение акций из-за слухов о сделке Meta с Google и отмечает растущий спрос на свои продукты. Google, в свою очередь, сочетает собственные тензорные процессоры с решениями Nvidia.
Компании Азиатско-Тихоокеанского региона все чаще переносят инфраструктуру ИИ на edge, чтобы справиться с растущими затратами на вывод результатов и задержками. Akamai с Inference Cloud на базе NVIDIA Blackwell помогает решать эти проблемы, делая решения ближе к пользователям. Это особенно важно для отраслей вроде розницы и финансов, где скорость критична.
Контейнеры Docker упрощают разработку языковых моделей, обеспечивая стабильные и воспроизводимые среды. В статье рассмотрены пять вариантов: от базового CUDA до специализированных для Jupyter и llama.cpp. Они помогают в исследованиях, прототипировании, тонкой настройке и локальном выводе, минимизируя проблемы с зависимостями.
Модель CorrDiff на базе генеративного ИИ революционизирует детальную прогноз погоды, обходя ограничения традиционных методов и достигая ускорения в 50 раз благодаря оптимизациям в стеке NVIDIA Earth-2. Эти улучшения позволяют масштабировать высокоточные прогнозы для континентов и планеты с низкими вычислительными затратами, делая технологию доступной для метеослужб. Оптимизации охватывают смешанную точность, слияние ядер и кэширование, повышая эффективность на GPU H100 и B200.
ИИ-системы часто не справляются с соединением восприятия и мышления в динамичных условиях, но NVIDIA Cosmos Reason VLM решает эту задачу через интеграцию зрения, языка и мировых знаний. На стриме покажут дообучение модели на своих данных, создание агентов с NIM и VSS, плюс примеры для производства, логистики и безопасности. Зрители получат практические советы и демонстрации для умных рабочих процессов.
Нейронный шейдинг интегрирует обучаемые модели в графический конвейер для улучшения рендеринга в реальном времени. Статья объясняет основы, показывает примеры с mipmap и нейронными сетями, а также применения вроде сжатия текстур. Это позволяет достигать высокого качества без зависимости от роста мощности железа.
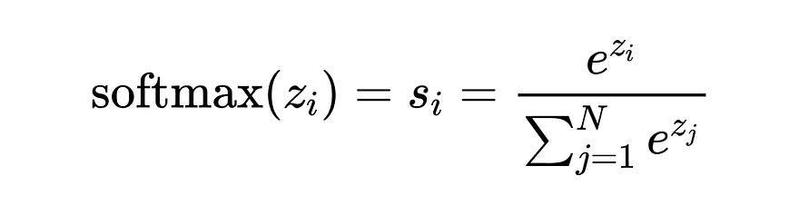
В этой статье разбирается функция softmax — ключевой элемент нейронных сетей, ее реализация в Triton с учетом градиентов и оптимизаций. Рассматриваются версии на одном и нескольких блоках, тестирование и сравнение производительности с PyTorch. Материал помогает понять, как создавать эффективные ядра для GPU.
Искусственный интеллект революционизирует производство, усиливая технологии вроде цифровых двойников и IIoT для перехода к проактивной оптимизации. Эксперты из Microsoft и Sight Machine подчеркивают, как это снижает простои до 40% и повышает эффективность. По данным отчета MIT 2024 года, внедрение ИИ растет, особенно среди крупных компаний.